The known The incidence and mortality of hepatocellular carcinoma (HCC) are rising more rapidly in Australia than those of other cancer types.
The new Survival for patients with HCC is poor, with a median survival time of 20.8 months. Surveillance is associated with improved survival, but participation rates are low (40%), despite 89% of patients with HCC qualifying for surveillance. Risk factors for HCC, such as cirrhosis and viral hepatitis, are underdiagnosed, and are often first identified when HCC is diagnosed.
The implications Strategies for increasing the recognition of risk factors for HCC and for improving surveillance rates among people at risk, in line with established international guidelines, are needed.
On a global basis, liver cancer is the fifth most frequently diagnosed cancer type, and causes the second highest number of cancer-related deaths.1 Incidence and mortality are both highest in East and South-East Asia, Africa, and developing nations, but are rising in Western countries; the increase in the number of liver cancer-related deaths has been the most rapid for any cancer type in Australia over the past 40 years.2
Hepatocellular carcinoma (HCC) accounts for about 82% of primary liver cancer in Australia.1 HCC is most frequently identified in patients with cirrhosis, typically caused by chronic hepatitis B (HBV) or C virus (HCV) infections, alcohol-related liver disease, or non-alcoholic fatty liver disease.3-5 A variety of treatments are available, including curative therapies (liver transplantation, surgical resection, percutaneous and laparoscopy-assisted ablation) and palliative measures, such as trans-arterial chemo-embolisation, a kinase inhibitor (sorafenib), selective internal radiation therapy, and best supportive care. Despite advances in therapy, overall survival remains poor,6 partly because late presentation with advanced disease7 limits treatment options.
HCC surveillance facilitates diagnosis at a stage of disease when curative treatments are effective, and is associated with reduced mortality.8 International guidelines9-11 recommend surveillance as standard practice, but uptake is poor and its implementation varies between institutions and physicians.12,13 Barriers to surveillance include lack of awareness of the underlying risks, low rates of screening for cirrhosis and viral hepatitis, cultural and linguistic difficulties, and cost and resource limitations.
We recently reported the first Australian population-based study of incident HCC.14 We found that age-standardised incidence rates of HCC in Melbourne were twice as high as reported by the Victorian Cancer Registry: 10.3 cases (95% confidence interval [CI], 9.0–11.7) per 100 000 men and 2.3 cases (95% CI, 1.8–3.0) per 100 000 women. In this new study, we aimed to determine overall survival for patients with HCC and to identify factors that influence survival. We hypothesised that participating in an HCC surveillance program would be associated with diagnosis of HCC at an earlier stage and consequently with improved survival.
Methods
Study cohort
Data for the prospective clinical cohort of patients in the Melbourne statistical division newly diagnosed with HCC during 1 July 2012 – 30 June 2013, identified in our earlier study, were analysed.14 The Melbourne statistical division has an estimated population of 4 300 207 (projected population for 2012–13)15 that is ethnically diverse; 35% of residents were born outside Australia. Patients residing outside the division (defined by residential postcodes) were excluded.
The population-based Victorian Cancer Registry collects data for all patients with cancer in the Melbourne statistical division. The region includes seven tertiary referral public health services, all of which were participating study sites. Each health service includes a tertiary university teaching hospital, with associated secondary hospitals and radiology and pathology services.
Data collection
Our case ascertainment methodology was reported previously.14 Data for patients at all study sites were captured (with the informed consent of the patients) and cross-referenced with Victorian Cancer Registry data. Data were de-identified and stored on a secure database.
Data collated from patient records included demographic information (including ethnic background and place of birth), residential postcode, aetiology of chronic liver disease, the presence of cirrhosis, Child–Pugh scores, alpha-fetoprotein levels, mode of presentation, participation in a surveillance program, Barcelona Clinic Liver Cancer (BCLC) stage, and treatment modality. The aetiology of chronic liver disease was defined by the consulting physician, and verified by pathology or radiology results if the cause was not documented. Cirrhosis status was determined after a review of histology, transient electrography, radiology, and biochemistry findings. Treatment modality was defined as the first treatment given, except for patients who were downstaged when more curative therapy was later assigned.
Three ethnic groups were defined for the purposes of our analysis: white (including Egypt, Middle East), African (sub-Saharan Africa), and Asian (mainly East and South-East Asia, with three patients from India or Sri Lanka). Indigenous status was not recorded.
Participation in a surveillance program was defined as patients with risk factors defined in international guidelines — cirrhosis of any cause; chronic HBV infection in Asian men over 40, Asian women over 50, African patients over 20 years of age, and people with a family history of HCC9-11 — undergoing 6-monthly ultrasound assessment with or without alpha-fetoprotein assessment.
The primary study outcome was overall survival. Survival time was calculated from the date of diagnosis until the date of notified death, as retrieved from hospital records, the Victorian Cancer Registry, and the Registry of Births, Deaths and Marriages Victoria. Patients were censored at last known medical attendance (consultation, radiology, pathology, other records), with a maximum follow-up period of 24 months.
Statistical analysis
Descriptive statistics are presented for continuous factors (medians with interquartile ranges [IQRs]) and categorical variables (numbers, proportions). Standardised HCC incidence ratios were calculated, comparing rates by country of birth with those for Australian-born patients (projected population for 2012–13).15 Correlations of clinically relevant variables were assessed as Spearman rank correlation coefficients (not reported); if the correlation of two variables was statistically significant, for the purposes of regression analysis they were either combined (eg, cirrhosis and Child–Pugh class combined as the new variable, “liver function”) or one variable was omitted (eg, BCLC stage but not tumour size retained).
To assess factors associated with surveillance participation, crude and adjusted odds ratios (ORs, aORs) were respectively estimated in logistic regression and multiple logistic regression models.
Survival was estimated with the Kaplan–Meier method. As the upper confidence bound for median survival time could not be calculated (the point 95% CI never dropped below 0.5 during the 24-month maximum follow-up period), mean survival time — calculated as the area under the Kaplan–Meier survivor function with the Stata option rmean — is also presented. Cox proportional hazards models were fitted for individual factors associated with survival nominated by specialist hepatologists (crude hazard ratio [HR]); factors for which P < 0.1 in the univariate analysis were included in the multiple regression Cox proportional hazards model (adjusted HR [aHR]). Violations of the proportional hazards assumption were assessed by visual inspection of Kaplan–Meier curves and in Schoenfeld residuals tests. P < 0.05 was deemed statistically significant. All analyses were performed in Stata Statistical Software 12 (StataCorp).
Ethics approval
Human research ethics committees for each health network granted approval for the study: St Vincent’s Health (reference, HREC-A 056.12), Melbourne Health (including Western Health; reference, 2012.150), Eastern Health (reference, E66-1112), Austin Health (reference, H2012/04713), Southern Health (reference, 12201A), and Alfred Health (reference, 357/12).
Results
A total of 272 people in the Melbourne statistical division were diagnosed with incident HCC during 1 July 2012 – 30 June 2013, including 216 men (79%). The most frequent risk factors for liver disease were HCV infection (112, 41%), alcohol (107, 39%), HBV infection (60, 22%), and non-alcoholic fatty liver disease (39, 14%); 73 patients (27%) had more than one risk factor (Box 1). Of 225 patients (83%) with cirrhosis, 72 (32%) were first diagnosed with cirrhosis at the time of HCC diagnosis.
Most patients (166, 61%) were born overseas (Box 1). The standardised incidence of HCC was higher for overseas-born than for Australian-born people, and particularly high for those born in sub-Saharan Africa, Italy, Vietnam, or Egypt (Box 2). Significantly more overseas-born patients had viral hepatitis-related HCC (108 of 166, 65%) than Australian-born patients (55 of 106, 52%; P = 0.031); significantly more Australian-born patients had alcohol-related HCC (65 of 106, 61% v 42 of 166, 25%, P < 0.001).
Treatment with curative intent was provided to 87 patients (32%) — liver transplantation (3%), resection (13%), and ablative therapies (radio-frequency, microwave, percutaneous alcohol; 16%) — and 180 patients (66%) were offered treatment with palliative intent — trans-arterial chemo-embolisation (24%), selective internal radiation radiotherapy (1.8%), systemic targeted therapy (sorafenib, 13%), and best supportive care (28%) (Box 1). Follow-up treatment for five patients with late stage disease was not recorded because they were overseas or otherwise lost to follow-up.
Surveillance at the time of hepatocellular carcinoma diagnosis
One hundred and ten patients (40%) were participating in surveillance at the time of HCC diagnosis; surveillance data were incomplete for four patients. Most non-participating patients had guideline indications for surveillance: cirrhosis (120 of 158, 76%) or chronic HBV infection without cirrhosis (17, 11%); 120 of 225 patients with cirrhosis (53%) were not participating in surveillance, including 72 (60%) who were diagnosed with cirrhosis at the time of HCC diagnosis. Non-participation was most marked among those with chronic HBV infections but not cirrhosis (17 of 21, 81%), including 12 patients in whom the infection was first detected at the time of HCC diagnosis. Overall, 242 of 272 patients (89%) would have qualified for surveillance (225 with cirrhosis, 17 without cirrhosis but with chronic HBV infections).
The multivariable analysis indicated that Australia-born (aOR, 0.45; 95% CI, 0.24–0.85; P = 0.014) and Asian patients (aOR, 0.42; 95% CI, 0.20–0.91; P = 0.029) were less likely to participate in surveillance than white patients born overseas. Participation in surveillance by patients with compensated cirrhosis (Childs–Pugh A) was higher than for those without cirrhosis (aOR, 5.70; 95% CI, 2.10–15.5; P = 0.001), but decompensated cirrhosis (Childs–Pugh B or C) was associated with a lower surveillance rate than that for patients with compensated cirrhosis or without cirrhosis (aOR, 0.53; 95% CI, 0.30–0.95; P = 0.033). Surveillance was higher among patients with HCV-related HCC (aOR, 1.95; 95% CI, 1.11–3.42; P = 0.020) and lower among those with alcohol-related HCC (aOR, 0.53; 95% CI, 0.29–0.95; P = 0.034) (Box 3).
Participation in surveillance was higher for patients with earlier than later stage disease (BCLC A/B, 75 of 127, 59%; BCLC C/D, 35 of 139, 25%; P < 0.001), with smaller tumour size (participants: median, 2.8 cm; IQR, 2.0–4.0 cm; non-participants: median, 6.0 cm; IQR, 3.6–10 cm; P < 0.001), or receiving curative treatment (59 of 99, 60%; not receiving curative treatment, 51 of 169, 30%; P < 0.001).
Survival analysis
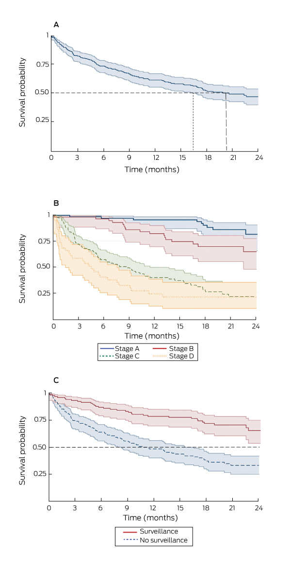
Median overall survival time was 20.8 months (lower end of 95% CI, 16.6 months; upper limit not calculable because point 95% CI did not fall below 0.5 during 24-month follow-up), with 12-month and 24-month survival rates of 62% and 47% respectively (Box 4,A). Mean survival time was 18.1 months (95% CI, 16.6–19.6 months).
In the multivariable analysis, poor survival was predicted by higher Child–Pugh class, alpha-fetoprotein level exceeding 400 kU/L (aHR, 2.06; 95% CI, 1.38–3.08; P < 0.001), and later BCLC stage at HCC diagnosis (BCLC C/D v BCLC A/B: aHR, 2.59; 95% CI, 1.57–4.27; P < 0.001) (Box 4,B; Box 5); increased survival was associated with participation in surveillance programs (aHR, 0.60; 95% CI, 0.38–0.93; P = 0.021) and curative treatment (aHR, 0.33; 95% CI, 0.19–0.58; P < 0.001) (Box 5). Survival rates for surveillance participants were 79% at 12 months and 66% at 24 months, compared with 49% and 33% respectively for non-participants (Box 4,C).
Discussion
The incidence of HCC in Australia is increasing.2,16 The parallel rises in incidence and population-attributable mortality rates16 suggest that the rise in incidence is not driven by detection of earlier tumours during surveillance alone, but may be related to demographic changes and the increased prevalence of underlying risk factors.17 Survival remains poor; our 12-month survival rate of 62% is similar to recent estimates for other developed countries.6,7
We found that survival was better for patients who presented with earlier stage disease, smaller tumours, and compensated liver disease. These factors all predict eligibility for treatment with curative intent, the factor with the greatest positive influence on survival.
Surveillance was associated with improved survival. Despite the acknowledged role of HCC surveillance in managing cirrhosis, only 40% of patients were participating in surveillance when diagnosed with HCC, a proportion similar to the 38% reported for one Melbourne tertiary centre more than a decade ago.17 Surveillance is particularly infrequent among patients of Asian or Australian-born backgrounds and those with alcohol-related liver disease. The emergence of non-alcoholic fatty liver disease-related HCC, linked with the rise of the metabolic syndrome in developed countries, is particularly challenging for surveillance because of the large population at risk.18
We identified two major barriers to increased uptake of surveillance: adherence to surveillance was poor for patients with certain recognised risk factors (decompensated cirrhosis, alcohol misuse) and, perhaps more importantly, a considerable number of patients diagnosed with HCC had hitherto undiagnosed cirrhosis or viral hepatitis. These findings indicate that a two-tiered approach may be needed to improve outcomes.
Firstly, clinicians should be alert to risk factors for chronic liver disease, such as excessive alcohol use, chronic HCV and HBV infections, and non-alcoholic fatty liver disease in certain social groups (eg, patients of low socio-economic status or with mental health problems, injecting drug users, migrants, patients with diabetes or metabolic syndrome). Patients with these risks factors should be screened for cirrhosis, and those with active liver disease should be screened longitudinally. An aspartate transaminase to platelet ratio index (APRI) value greater than 1.0 predicts cirrhosis with 76% sensitivity and 72% specificity,19 and the test is simple to undertake. Community-based screening based on blood pathology and transient elastography identifies significant fibrosis in 16% of patients with hepatitis C.20
HCC surveillance comprising 6-monthly liver ultrasound and alpha-fetoprotein assessment should be offered to all patients with cirrhosis, as well as to Asian men over 40, women over 50, Africans over 20 years of age, and patients with a family history of HCC without cirrhosis but with chronic HBV infections.9 This recommendation should be communicated during medical training and included in specialist society and jurisdictional guidelines.
Secondly, effective surveillance might be best achieved with a national HCC surveillance program. HCC fulfils many of the criteria for such programs: its incidence is high, a non-invasive and inexpensive screening method is available, and early detection is associated with improved survival when combined with effective therapy.
Preventive responses to known causes of chronic liver disease may also be beneficial as public health measures. Improving the diagnosis of viral hepatitis in at-risk populations, together with viral suppression (HBV) and eradication (HCV), could be cost-effective strategies for preventing HCC.21,22 As antiviral drugs for treating HBV and HCV infections are readily available in Australia, increased education and use of these drugs in community practice are important. Non-alcoholic fatty liver disease, a major indication for liver transplantation in many countries, may also be under-recognised as a risk factor by the general medical community.
Limitations
Our study was limited by inherent biases that affect interpretation of survival outcomes in cancer screening. As cirrhosis, the major trigger for surveillance, is itself asymptomatic and underdiagnosed, lead time in HCC diagnosis varies widely; as the growth rate for HCC is quite variable, length time bias is also important. Randomised controlled trials could circumvent these biases. Two older trials found that HCC surveillance improved survival,8,23 but their methodological flaws limit the generalisability of their findings. Randomised controlled trials are now impracticable, as informed patients usually decline randomisation in preference of direct access to surveillance.24 A number of studies have attempted to reduce lead time bias in HCC surveillance by adjusting for tumour growth during the asymptomatic phase; one such study found that the short term survival benefit of surveillance was markedly reduced after taking lead time into account, but not the long term survival benefits.25
Conclusion
Survival for patients with HCC in Australia is poor. While surveillance allows the detection of smaller, early stage tumours, enabling curative therapies associated with significantly better survival to be initiated, the rate of participation in HCC surveillance programs is relatively low. Cirrhosis had not previously been detected in one-third of patients newly diagnosed with HCC. Improving the identification of cirrhosis in primary care and by other physicians and enrolling patients in surveillance programs may improve their outcomes. A national surveillance program for patients at increased risk of HCC, in accordance with the relevant international guidelines, should also be considered.
Box 1 – Baseline characteristics of the 272 people in Melbourne diagnosed with incident hepatocellular carcinoma, July 2012 – June 2013
|
Characteristic |
|
||||||||||||||
|
|
|||||||||||||||
|
Total number of people |
272 |
||||||||||||||
|
Sex (men) |
216 (79%) |
||||||||||||||
|
Place of birth |
|
||||||||||||||
|
Australia |
106 (39%) |
||||||||||||||
|
Overseas |
166 (61%) |
||||||||||||||
|
Ethnic background |
|
||||||||||||||
|
White (Australian-born) |
105 (39%) |
||||||||||||||
|
White (overseas-born) |
96 (36%) |
||||||||||||||
|
Asian |
59 (22%) |
||||||||||||||
|
African |
10 (4%) |
||||||||||||||
|
Missing data |
2 (1%) |
||||||||||||||
|
Age (years), median (IQR) |
65 (56–76) |
||||||||||||||
|
Men |
64 (56–74) |
||||||||||||||
|
Women |
74 (64–80) |
||||||||||||||
|
White (Australian-born) |
60 (56–71) |
||||||||||||||
|
White (overseas-born) |
70 (61–78) |
||||||||||||||
|
Asian |
63 (54–75) |
||||||||||||||
|
African |
56 (53–74) |
||||||||||||||
|
Missing data |
65 (55–75) |
||||||||||||||
|
Risk factors for chronic liver disease present |
|
||||||||||||||
|
Chronic hepatitis C virus infection |
112 (41%) |
||||||||||||||
|
Alcohol-related liver disease |
107 (39%) |
||||||||||||||
|
Chronic hepatitis B virus infection |
60 (22%) |
||||||||||||||
|
Non-alcohol fatty liver disease |
39 (14%) |
||||||||||||||
|
Haemochromatosis |
6 (2%) |
||||||||||||||
|
Primary biliary cirrhosis |
5 (2%) |
||||||||||||||
|
Autoimmune hepatitis |
3 (1%) |
||||||||||||||
|
Other/missing data |
17 (6%) |
||||||||||||||
|
More than one risk factor |
73 (27%) |
||||||||||||||
|
Mode of presentation |
|
||||||||||||||
|
Surveillance program (6–12-monthly ultrasound) |
110 (40%) |
||||||||||||||
|
Known indication but not screened |
53 (19%) |
||||||||||||||
|
First presentation of cirrhosis/other risk factor |
32 (12%) |
||||||||||||||
|
Incidental hepatocellular carcinoma finding |
73 (27%) |
||||||||||||||
|
Missing data |
4 (2%) |
||||||||||||||
|
Liver function status |
|
||||||||||||||
|
Cirrhosis |
225 (83%) |
||||||||||||||
|
Child–Pugh A |
125 (56%) |
||||||||||||||
|
Child–Pugh B |
67 (30%) |
||||||||||||||
|
Child–Pugh C |
33 (15%) |
||||||||||||||
|
Barcelona Clinic Liver Cancer staging |
|
||||||||||||||
|
BCLC A |
70 (26%) |
||||||||||||||
|
BCLC B |
59 (22%) |
||||||||||||||
|
BCLC C |
98 (37%) |
||||||||||||||
|
BCLC D |
41 (15%) |
||||||||||||||
|
Missing data |
4 (1.5%) |
||||||||||||||
|
Treatment modality |
|
||||||||||||||
|
Palliative |
|
||||||||||||||
|
Best supportive care |
76 (28%) |
||||||||||||||
|
Trans-arterial chemo-embolisation |
65 (24%) |
||||||||||||||
|
Sorafenib |
34 (13%) |
||||||||||||||
|
Selective internal radiation therapy |
5 (2%) |
||||||||||||||
|
Curative |
|
||||||||||||||
|
Radio-frequency/microwave ablation |
38 (14%) |
||||||||||||||
|
Resection |
34 (13%) |
||||||||||||||
|
Liver transplantation |
9 (3%) |
||||||||||||||
|
Percutaneous ethanol injection |
6 (2%) |
||||||||||||||
|
Lost to follow-up/missing data |
5 (2%) |
||||||||||||||
|
|
|||||||||||||||
|
BCLC = Barcelona Clinic Liver Cancer; IQR = interquartile range. |
|||||||||||||||
Box 2 – Standardised incidence ratios for hepatocellular carcinoma (compared with incidence among Australian-born people), by country/region of birth*

* Countries of birth providing fewer than three patients not shown.
Box 3 – Logistic regression analysis of factors influencing surveillance participation
|
Risk factor |
Surveillance participation |
Odds ratio (95% CI) |
|||||||||||||
|
Yes |
No |
Univariate |
P |
Multivariable* |
P |
||||||||||
|
|
|||||||||||||||
|
Number of participants |
110 (40%) |
158 (58%) |
|
|
|
|
|||||||||
|
Age (years), median (IQR) |
64 (56–74) |
66 (56–77) |
0.99 (0.97–1.01) |
0.23 |
|
|
|||||||||
|
Sex |
|
|
|
|
|
|
|||||||||
|
Women |
27 |
28 |
1 |
|
|
|
|||||||||
|
Men |
83 |
130 |
0.66 (0.36–1.20) |
0.18 |
|
|
|||||||||
|
Ethnic background/place of birth |
|
|
|
|
|
|
|||||||||
|
White/overseas-born |
52 |
45 |
1 |
|
1 |
|
|||||||||
|
White/Australian-born |
36 |
67 |
0.46 (0.26–0.82) |
0.008 |
0.45 (0.24–0.85) |
0.014 |
|||||||||
|
African |
3 |
7 |
0.37 (0.91–1.52) |
0.18 |
0.30 (0.07–1.34) |
0.11 |
|||||||||
|
Asian |
19 |
39 |
0.42 (0.21–0.83) |
0.013 |
0.42 (0.20–0.91) |
0.029 |
|||||||||
|
Liver function |
|
|
|
|
|
|
|||||||||
|
Non-cirrhotic |
6 |
32 |
1 |
|
1 |
|
|||||||||
|
Child–Pugh A |
66 |
57 |
6.18 (2.41–15.8) |
0.001 |
5.70 (2.10–15.5) |
0.001 |
|||||||||
|
Child–Pugh B |
26 |
41 |
3.38 (1.24–9.20) |
0.017 |
3.33 (1.12–9.93) |
0.031 |
|||||||||
|
Child–Pugh C |
11 |
22 |
2.67 (0.86–8.28) |
0.09 |
2.47 (0.71–8.51) |
0.15 |
|||||||||
|
Decompensated cirrhosis (Child–Pugh B/C) |
|
|
|
|
|
|
|||||||||
|
No |
73 |
85 |
1 |
|
|
|
|||||||||
|
Yes |
37 |
73 |
0.51 (0.30–0.87) |
0.014 |
0.53 (0.30–0.95)† |
0.033 |
|||||||||
|
Chronic hepatitis B |
|
|
|
|
|
|
|||||||||
|
No |
88 |
120 |
1 |
|
|
|
|||||||||
|
Yes |
22 |
38 |
0.79 (0.44–1.43) |
0.43 |
|
|
|||||||||
|
Chronic hepatitis C |
|
|
|
|
|
|
|||||||||
|
No |
52 |
105 |
1 |
|
|
|
|||||||||
|
Yes |
58 |
53 |
2.21 (1.34–3.64) |
0.002 |
1.95 (1.11–3.42) |
0.020 |
|||||||||
|
Alcohol-related liver disease |
|
|
|
|
|
|
|||||||||
|
No |
74 |
88 |
1 |
|
|
|
|||||||||
|
Yes |
36 |
70 |
0.61 (0.37–1.02) |
0.06 |
0.52 (0.29–0.95) |
0.034 |
|||||||||
|
Non-alcohol fatty liver disease |
|
|
|
|
|
|
|||||||||
|
No |
97 |
132 |
1 |
|
|
|
|||||||||
|
Yes |
13 |
6 |
0.68 (0.33–1.39) |
0.29 |
|
|
|||||||||
|
|
|||||||||||||||
|
CI = confidence interval; IQR = interquartile range. * Includes factors for which P < 0.1 in univariate analysis. † Based on an alternative model not including the variable “liver function”. |
|||||||||||||||
Box 4 – Survival functions (with 95% confidence envelopes) for 272 people in Melbourne diagnosed with incident hepatocellular carcinoma, July 2012 – June 2013. A. Overall; B. by BCLC stage; C. by participation in hepatocellular carcinoma surveillance

BCLC = Barcelona Clinic Liver Cancer.
Box 5 – Logistic regression analysis of factors influencing survival
|
Factor |
Value |
Hazard ratio (95% CI) |
|||||||||||||
|
Univariate |
P |
Multivariable* |
P |
||||||||||||
|
|
|||||||||||||||
|
Age (years), median (IQR) |
65 (56–76) |
1.02 (1.00–1.03) |
0.010 |
1.01 (0.99–1.02) |
0.43 |
||||||||||
|
Sex (men) |
216 (79%) |
0.77 (0.51–1.17) |
0.22 |
|
|
||||||||||
|
Ethnic background |
|
|
|
|
|
||||||||||
|
White |
201 (74%) |
1 |
|
1 |
|
||||||||||
|
African |
10 (3.7%) |
0.70 (0.26–1.90) |
0.48 |
0.62 (0.23–1.72) |
0.36 |
||||||||||
|
Asian |
59 (22%) |
0.56 (0.34–0.92) |
0.023 |
0.76 (0.44–1.32) |
0.33 |
||||||||||
|
Liver function |
|
|
|
|
|
||||||||||
|
Non-cirrhotic |
38 (14%) |
1 |
|
1 |
|
||||||||||
|
Child–Pugh A |
125 (48%) |
1.22 (0.59–2.52) |
0.59 |
1.21 (0.55–2.64) |
0.63 |
||||||||||
|
Child–Pugh B |
67 (27%) |
3.82 (1.87–7.81) |
0.001 |
3.06 (1.36–6.89) |
0.007 |
||||||||||
|
Child–Pugh C |
33 (13%) |
6.36 (2.96–13.7) |
0.001 |
5.26 (2.13–13.0) |
< 0.001 |
||||||||||
|
Risk factor for cirrhosis |
|
|
|
|
|
||||||||||
|
Chronic hepatitis C |
112 (41%) |
0.68 (0.47–0.99) |
0.042 |
0.67 (0.43–1.05) |
0.08 |
||||||||||
|
Chronic hepatitis B |
60 (22%) |
0.86 (0.55–1.32) |
0.48 |
|
|
||||||||||
|
Alcohol |
107 (39%) |
1.29 (0.91–1.83) |
0.15 |
|
|
||||||||||
|
Non-alcohol fatty liver disease |
39 (14%) |
0.77 (0.45–1.29) |
0.32 |
|
|
||||||||||
|
Alpha-fetoprotein (> 400 kU/L) |
81 (30%) |
3.13 (2.20–4.46) |
< 0.001 |
2.06 (1.38–3.08) |
< 0.001 |
||||||||||
|
BCLC staging (stages C/D v A/B) |
139 (52%) |
6.53 (4.24–10.1) |
< 0.001 |
2.59 (1.57–4.27) |
< 0.001 |
||||||||||
|
Curative treatment (provided) |
85 (31%) |
0.18 (0.11–0.30) |
< 0.001 |
0.33 (0.19–0.58) |
< 0.001 |
||||||||||
|
Surveillance (participated) |
110 (40%) |
0.33 (0.22–0.50) |
< 0.001 |
0.60 (0.38–0.93) |
0.021 |
||||||||||
|
|
|||||||||||||||
|
BCLC = Barcelona Clinic Liver Cancer; CI = confidence interval; IQR = interquartile range. * Includes factors for which P < 0.1 in univariate analysis. |
|||||||||||||||
Received 8 April 2018, accepted 23 August 2018
- Thai P Hong1
- Paul J Gow2
- Michael Fink3,4
- Anouk Dev5
- Stuart K Roberts2
- Amanda Nicoll6
- John S Lubel6
- Ian Kronborg7
- Niranjan Arachchi7
- Marno Ryan1
- William W Kemp8
- Virginia Knight5
- Vijaya Sundararajan3
- Paul Desmond1
- Alexander JV Thompson1
- Sally J Bell1
- 1 St Vincent's Hospital Melbourne, Melbourne, VIC
- 2 Austin Hospital, Melbourne, VIC
- 3 University of Melbourne, Melbourne, VIC
- 4 Austin Health, Melbourne, VIC
- 5 Monash Health, Melbourne, VIC
- 6 Eastern Health, Melbourne, VIC
- 7 Western Health, Melbourne, VIC
- 8 Alfred Hospital, Melbourne, VIC
No relevant disclosures.
- 1. Forman D, Bray F, Brewster DH, et al, editors. Cancer incidence in five continents. Volume X (IARC Scientific Publication No. 164). Lyon: International Agency for Research on Cancer, 2014. http://publications.iarc.fr/Book-And-Report-Series/Iarc-Scientific-Publications/Cancer-Incidence-In-Five-Continents-Volume-X-2014 (viewed Aug 2018).
- 2. MacLachlan JH, Cowie BC. Liver cancer is the fastest increasing cause of cancer death in Australians. Med J Aust 2012; 197: 492-493. <MJA full text>
- 3. Leung C. Characteristics of hepatocellular carcinoma in cirrhotic and non-cirrhotic non-alcoholic fatty liver disease. World J Gastroenterol 2015; 21: 1189-1196.
- 4. Waziry R, Grebely J, Amin J, et al. Trends in hepatocellular carcinoma among people with HBV or HCV notification in Australia (2000-2014). J Hepatol 2016; 65: 1086-1093.
- 5. Dyson J, Jaques B, Chattopadyhay D, et al. Hepatocellular cancer: the impact of obesity, type 2 diabetes and a multidisciplinary team. J Hepatol 2014; 60: 110-117.
- 6. Bordoni A, Cerny A, Bihl F, et al. Survival of hepatocellular carcinoma patients is significantly improving: a population-based study from southern Switzerland. Cancer Epidemiol 2014; 38: 679-685.
- 7. Weinmann A, Koch S, Niederle IM, et al. Trends in epidemiology, treatment, and survival of hepatocellular carcinoma patients between 1998 and 2009: an analysis of 1066 cases of a German HCC Registry. J Clin Gastroenterol 2014; 48: 279-289.
- 8. Zhang BH, Yang BH, Tang ZY. Randomized controlled trial of screening for hepatocellular carcinoma. J Cancer Res Clin Oncol 2004; 130: 417-422.
- 9. Omata M, Cheng AL, Kokudo N, et al. Asia–Pacific clinical practice guidelines on the management of hepatocellular carcinoma: a 2017 update. Hepatol Int 2017; 11: 317-370.
- 10. Heimbach J, Kulik LM, Finn R, et al. AASLD guidelines for the treatment of hepatocellular carcinoma. Hepatology 2018; 67: 358-380.
- 11. Galle PR, Forner A, Llovet JM, et al. EASL Clinical Practice Guidelines: management of hepatocellular carcinoma. J Hepatol 2018; 69: 182-236.
- 12. Davila JA, Henderson L, Kramer JR, et al. Utilization of surveillance for hepatocellular carcinoma among hepatitis C virus-infected veterans in the United States. Ann Intern Med 2011; 154: 85-93.
- 13. Park SH, Heo NY, Park JH, et al. Hepatocellular carcinoma screening in a hepatitis B virus-infected Korean population. Dig Dis Sci 2012; 57: 3258-3564.
- 14. Hong TP, Gow P, Fink M, et al. Novel population-based study finding higher than reported hepatocellular carcinoma incidence suggests an updated approach is needed. Hepatology 2016; 63: 1205-1212.
- 15. Australian Bureau of Statistics. 3218.0. Regional population growth, Australia, 2012–13. Apr 2014. http://www.abs.gov.au/AUSSTATS/abs@.nsf/DetailsPage/3218.02012-13 (viewed Aug 2018).
- 16. Australian Institute of Health and Welfare. Cancer in Australia: an overview 2014 (AIHW Cat. No. CAN 88; Cancer Series No. 90). Canberra: AIHW, 2014.
- 17. Roberts SK, Kemp W. Hepatocellular carcinoma in an Australian tertiary referral hospital 1975–2002: change in epidemiology and clinical presentation. J Gastroenterol Hepatol 2007; 22: 191-196.
- 18. Welzel TM, Graubard BI, Quraishi S, et al. Population-attributable fractions of risk factors for hepatocellular carcinoma in the United States. Am J Gastroenterol 2013; 108: 1314-1321.
- 19. Lin ZH, Xin YN, Dong QJ, et al. Performance of the aspartate aminotransferase-to-platelet ratio index for the staging of hepatitis C-related fibrosis: an updated meta-analysis. Hepatology 2011; 53: 726-736.
- 20. Bloom S, Kemp W, Nicoll A, et al. Liver stiffness measurement in the primary care setting detects high rates of advanced fibrosis and predicts liver-related events in hepatitis C. J Hepatol 2018; 69: 575-583.
- 21. Robotin MC, Kansil M, Howard K, et al. Antiviral therapy for hepatitis B-related liver cancer prevention is more cost-effective than cancer screening. J Hepatol 2009; 50: 990-998.
- 22. Strasser SI. Managing hepatitis B to prevent liver cancer: recent advances. Expert Rev Gastroenterol Hepatol 2014; 8: 409-415.
- 23. Chen JG, Parkin DM, Chen QG, et al. Screening for liver cancer: results of a randomised controlled trial in Qidong, China. J Med Screen 2003; 10: 204-209.
- 24. Poustchi H, Farrell GC, Strasser SI, et al. Feasibility of conducting a randomized control trial for liver cancer screening: Is a randomized controlled trial for liver cancer screening feasible or still needed? Hepatology 2011; 54: 1998-2004.
- 25. Cucchetti A, Trevisani F, Pecorelli A, et al. Estimation of lead-time bias and its impact on the outcome of surveillance for the early diagnosis of hepatocellular carcinoma. J Hepatol 2014; 61: 333-341.


Abstract
Objectives: To determine the factors associated with survival of patients with hepatocellular carcinoma (HCC) and the effect of HCC surveillance on survival.
Design, setting and participants: Prospective population-based cohort study of patients newly diagnosed with HCC in seven tertiary hospitals in Melbourne, 1 July 2012 – 30 June 2013.
Main outcome measures: Overall survival (maximum follow-up, 24 months); factors associated with HCC surveillance participation and survival.
Results: 272 people were diagnosed with incident HCC during the study period; the most common risk factors were hepatitis C virus infection (41%), alcohol-related liver disease (39%), and hepatitis B virus infection (22%). Only 40% of patients participated in HCC surveillance at the time of diagnosis; participation was significantly higher among patients with smaller median tumour size (participants, 2.8 cm; non-participants, 6.0 cm; P < 0.001) and earlier Barcelona Clinic Liver Cancer (BCLC) stage disease (A/B, 59%; C/D, 25%; P < 0.001). Participation was higher among patients with compensated cirrhosis or hepatitis C infections; it was lower among those with alcohol-related liver disease or decompensated liver disease. Median overall survival time was 20.8 months; mean survival time was 18.1 months (95% CI, 16.6–19.6 months). Participation in HCC surveillance was associated with significantly lower mortality (adjusted hazard ratio [aHR], 0.60; 95% CI, 0.38–0.93; P = 0.021), as were curative therapies (aHR, 0.33; 95% CI, 0.19–0.58). Conversely, higher Child–Pugh class, alpha-fetoprotein levels over 400 kU/L, and later BCLC disease stages were each associated with higher mortality.
Conclusions: Survival for patients with HCC is poor, but may be improved by surveillance, associated with the identification of earlier stage tumours, enabling curative therapies to be initiated.